学术论文
2025
第一/通讯:
1. Song, Z., Xu, J., Zhang, L., He, C., Westerhoff, P. and Yang, X.* (2025) Tailoring bidirectional electronic transfer interaction tunnels triggers sustainable and high activity of ozone catalysis for water purification. Nature Communications 16(1), 8121. DOI: //doi.org/10.1038/s41467-025-63614-9

2. Deng, Y., Zhou, Y., Song, Z.* and Yang, X.* (2025) Long-Range Electronically Polarized Fe-N5 Catalysts Redirect Polymerization-Driven Phenolic Pollutant Removal Toward Sustainable Carbon Sequestration. Angewandte Chemie International Edition, e202509493. DOI: //doi.org/10.1002/anie.202509493


4. Pan, Y., Garg, S., Peng, J., Yang, X.* and Waite, T.D.* (2025) Use of Copper in Evaluating the Role of Phenolic Moieties in the Photooxidation of Dissolved Organic Matter. Environmental Science & Technology 59(6), 3067-3076. DOI: //doi.org/10.1021/acs.est.4c13176

5. Qiu, J., Zhou, Y., Feng, C., Chen, G.* and Yang, X.* (2025) Coordination Polymer Packaging Approach for Simplifying the Isolation and Recovery of Dissolved Organic Matter from Water. Environmental Science & Technology 59(16), 8244-8253. DOI: //doi.org/10.1021/acs.est.4c11047

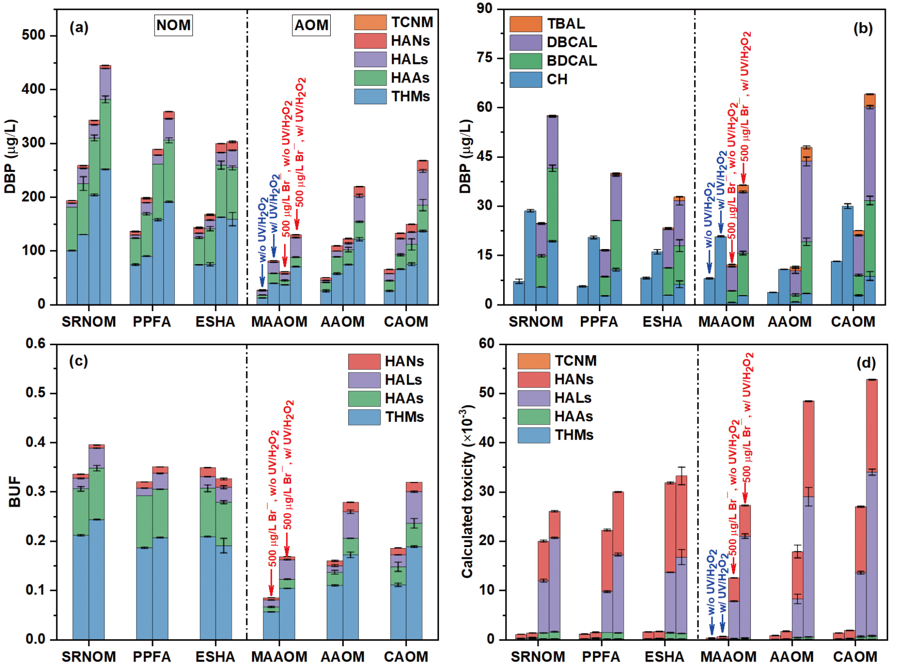
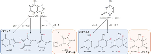
6. Cheng, S., Cui, R., Sun, Y., Li, Y., Zhou, Y., Song, Z.* and Yang, X.* (2025) The Internal and External Reverse-Reduction Pathway Involved in the Degradation of Free DNA Bases during Advanced Oxidation Processes. Water Research 285, 124132. DOI://doi.org/10.1016/j.watres.2025.124132

7. Cheng, S., Cui, R., Yu, J., Zhao, Y. and Yang, X.* (2025) Inhibition by Dissolved Organic Matter of the Degradation of Purine Compounds by the Sulfate Radical. Water Research 284, 124027. DOI: //doi.org/10.1016/j.watres.2025.124027

8. Cheng, S., Cui, R., Zhou, Y., Lei, Y., Wang, N., Pan, Y. and Yang, X.* (2025) The reverse-reduction effect of dissolved organic matter on the degradation of micropollutants induced by halogen radicals (Cl2•- and Br2•-). Water Research 268, 122720. DOI: //doi.org/10.1016/j.watres.2024.122720

9. Gao, Q., Pan, Y., Zhou, Y., Peng, J., Kong, Q., Cheng, Y., Fu, Q.-L.* and Yang, X.* (2025) Molecular composition difference of electron donating moieties between natural organic matter and effluent organic matter probed by chlorine dioxide. Water Research 271, 122911. DOI: //doi.org/10.1016/j.watres.2024.122911

10. Guan, J., Huang, H., Chu, W. and Yang, X.* (2025) Far UVC Photolysis of PDS and H2O2 in Saline Water Generates Disinfection By-products. Water Research 283, 123866. DOI: //doi.org/10.1016/j.watres.2025.123866

11. He, Y., Huang, Y., Ye, Y.-X., Deng, Y., Yang, X.* and Ouyang, G.* (2025) Initiating photocatalytic degradation of organic pollutants under ultra-low light intensity via oxygen-centered organic radicals. Chemical Science 16(9), 3964-3977. DOI: //doi.org/10.1039/d4sc06339b

2024
第一/通讯:
1.Guan, J., Lei, X., Fan, M., Lei, Y.*, Qiu, J. and Yang, X.* (2024) Aromatic Structures Govern the Formation of Chlorinated Byproducts in Dichlorine Radical Reactions. Environmental Science & Technology 58(42), 19048-19057. DOI: //doi.org/10.1021/acs.est.4c06303

2. Song, Z., Xu, J., Guan, J., Wang, P., Qiu, J., Lei, Y., Zhang, X., Kong, Q., Zhou, Y. and Yang, X.* (2024) Nanoscale Sequential Reactor Design Achieves Effective Removal of Disinfection Byproduct Precursors in Catalytic Ozonation. Environmental Science & Technology 58(28), 12697-12707. DOI: //doi.org/10.1021/acs.est.3c09295

3. Peng, J., Pan, Y., Zhou, Y., Lei, X., Guo, Y., Lei, Y., Kong, Q., Cheng, S. and Yang, X.* (2024) Mechanistic Aspects of Photodegradation of Deoxynucleosides Induced by Triplet State of Effluent Organic Matter. Environmental Science & Technology 58(10), 4751-4760. DOI: //doi.org/10.1021/acs.est.3c08782

4. Zhou, Y., Lei, Y., Kong, Q., Cheng, F., Fan, M., Deng, Y., Zhao, Q., Qiu, J., Wang, P. and Yang, X.* (2024) o-Semiquinone Radical and o-Benzoquinone Selectively Degrade Aniline Contaminants in the Periodate-Mediated Advanced Oxidation Process. Environmental Science & Technology 58(4), 2123-2132. DOI: //doi.org/10.1021/acs.est.3c08179

5. Wang, Y., Deng, Y., Yao, L. and Yang, X.* (2024) Colloid-bound radicals formed in NOM-enhanced Fe(III)/peroxymonosulfate (PMS) process accelerate the degradation of trace organic contaminants in water. Water Research, 120880. DOI: //doi.org/10.1016/j.watres.2023.120880

6. Zhang, X., Zhang, R., Ren, P., Zhou, J., Li, W.* and Yang, X.* (2024) Carbon dioxide radical anion mediated dehalogenation kinetics and mechanisms of halogenated alkanes. Water Research, 121799. DOI: //doi.org/10.1016/j.watres.2024.121799

7. Lei, X., Lei, Y., Fu, Q., Fu, H., Guan, J. and Yang, X.* (2024) One-Electron Oxidant-Induced Transformation of Dissolved Organic Matter: Optical and Antioxidation Properties and Molecules. Water Research 249, 121011. DOI: //doi.org/10.1016/j.watres.2023.121011

8. Liang, X., Lei, Y.* and Yang, X.* (2024) Quantitative structure–activity relationships for the reaction kinetics of trace organic contaminants with one-electron oxidants. Environmental Science: Processes & Impacts, 26, 192-208 DOI: //doi.org/10.1039/D3EM00329A

9. Deng, Y., Ye, Y.-X., He, Y., Xu, J., Ke, Z., Zhang, X., Ouyang, G.* and Yang, X.* (2024) Highly effective activation of peroxymonosulfate via oxygen-coordinated single-atom iron for water decontamination. Chemical Engineering Journal, 149782. DOI: //doi.org/10.1016/j.cej.2024.149782

10. Li, S., Lei, Y., Ma, J., Lei, X., Li, X., Du, X., Zhou, Y., Yang, X.* and Zhang, Z.* (2024) Influences of molecular composition in dissolved organic matter on its reactivity with chlorine radicals (Cl• and Cl2•−). Chemical Engineering Journal 490, 151719. DOI: //doi.org/10.1016/j.cej.2024.151719

11. Kong, Q., Yao, L., Ye, L., Pan, Y., Deng, Y., Tan, Z., Zhou, Y., Shi, G. and Yang, X.* (2024) Photochemical Transformation of Monochloramine Induced by Triplet State Dissolved Organic Matter. Journal of Hazardous Materials 471, 134366. DOI: //doi.org/10.1016/j.jhazmat.2024.134366

12. Yang, X., Ye, L., Zhou, Y., Peng, J. and Kong, Q.* (2024) Effects of pH on the triplet state dissolved organic matter induced free available chlorine decay and radical formation. Journal of Hazardous Materials 465, 133268. DOI: //doi.org/10.1016/j.jhazmat.2023.133268

13. Xie, Z., Guan, J., Lei, X., Fan, M., Qiu, J.* and Yang, X.* (2024) Advances in toxicity assessment of drinking water disinfection byproducts. TrAC Trends in Analytical Chemistry, 117545. DOI: //doi.org/10.1016/j.trac.2024.117545

14. Wang, Y., Yao, L. and Yang, X.* (2024) UV/H2O2 oxidation promotes the formation of highly toxic haloacetaldehydes during chlorination of drinking water. Chinese Science Bulletin 69(26), 3984-3994. DOI: //doi.org/10.1360/TB-2024-0437

2023
第一/通讯:
1. Peng, J., Pan, Y., Zhou, Y., Kong, Q., Lei, Y., Lei, X., Cheng, S., Zhang, X., and Yang, X.* (2023) Triplet photochemistry of effluent organic matter in degradation of extracellular antibiotic resistance genes. Environmental Science & Technology. 57(18), 7230–7239. (Supplementary Cover) DOI: //doi.org/10.1021/acs.est.2c08036

2. Lei, Y., Yu, Y., Lei, X., Liang, X., Cheng, S., Ouyang, G., and Yang, X.* (2023) Assessing the use of probes and quenchers for understanding the reactive species in advanced oxidation processes. Environmental Science & Technology. 57(13), 5433–5444. (Supplementary Cover) DOI: //doi.org/10.1021/acs.est.2c09338

3. Lei, X., Guan, J., Lei., Y., Yao, L., Westerhoff, P., and Yang, X.* (2022) One-electron oxidant-induced transformations of aromatic alcohol to ketone moieties in dissolved organic matter increase trichloromethane formation. Environmental Science & Technology. DOI: //doi.org/10.1021/acs.est.2c06425

4. Kong, Q.; Ye, L.; Pan, Y.; Zhou, Y.; Lei, Y.; Zeng, Z.; Chen, S.; Yao, L.; Zhang, X.; Westerhoff, P.; Yang, X.* (2023) Photochemical transformation of free chlorine Induced by triplet state dissolved organic matter. Environmental Science and Technology. 57(29), 10849–10859. DOI: //doi.org/10.1021/acs.est.3c02458

5. Zhou, Y.; Yixi, L.; Kong, Q.; Peng, J.; Pan, Y.; Qiu, J.; Yang, X.* (2023) Sunlight-Induced transformation of tire rubber antioxidant N -(1,3-Dimethylbutyl)- N ′-phenyl- p -phenylenediamine (6PPD) to 6PPD-quinone in water. Environmental Science & Technology Letters. 10(9), 798–803. DOI://doi.org/10.1021/acs.estlett.3c00499

6. Zhou, Y., Lei, Y., Kong, Q., Lei, X., Peng, J., Xie, Y., Cheng, S., Gao,Y., Qiu, J., and Yang, X.* (2023) Reactions of neonicotinoids with peroxydisulfate: The generation of neonicotinoid anion radicals and activation pathway to form sulfate radicals. Journal of Hazardous Materials. 450(15), 131081. DOI: //doi.org/10.1016/j.jhazmat.2023.131081

7. Wang, Y., Deng, Y., Yao, L. and Yang, X.* (2023) Colloid-bound radicals formed in NOM-enhanced Fe(III)/peroxymonosulfate (PMS) process accelerate the degradation of trace organic contaminants in water. Water Research, 120880. DOI: //doi.org/10.1016/j.watres.2023.120880

8. Zhang, Q., An, B., Lei, Y., Gao, Z., Zhang, H., Xue, S., Jin, X., Xu, W., Wu, Z., Wu, M.*, Yang, X.* and Wu, W.* (2023) Cl2⋅− Mediates Direct and Selective Conversion of Inert C(sp3)−H Bonds into Aldehydes/Ketones. Angewandte Chemie International Edition 62(36), e202304699. DOI: //doi.org/10.1002/anie.202304699

其他:
Zhou, Y., Jiao, J., Huang, H.*, Liu, Y.D.*, Zhong, R. and Yang, X. (2023) Insights into C–C Bond Cleavage Mechanisms in Dichloroacetonitrile Formation during Chlorination of Long-Chain Primary Amines, Amino Acids, and Dipeptides. Environmental Science & Technology 57(47), 18834-18845. DOI: //doi.org/10.1021/acs.est.2c07779

Yan, Z., Kuang, W., Lei, Y., Zheng, W., Fu, H., Li, H., Lei, Z., Yang, X., Zhu, S. and Feng, C.* (2023) Boosting Ammonium Oxidation in Wastewater by the BiOCl-Functionalized Anode. Environmental Science & Technology. DOI: //doi.org/10.1021/acs.est.3c06326

Qiu, J., Wang, J., Ren, M., Yang, X., Zhang, J., Zhang, X., Cao, H. and Xie, Y.* (2023) Comprehensive effect of water matrix on catalytic ozonation of chloride contained saline wastewater. Water Research, 119827. DOI: //doi.org/10.1016/j.watres.2023.119827

Wu, S., Fujii, M., Yang, X. and Fu, Q.-L.* (2023) Characterization of halogenated organic compounds by the Fourier transform ion cyclotron resonance mass spectrometry: A critical review. Water Research 246, 120694. DOI: //doi.org/10.1016/j.watres.2023.120694

Pan, Y., Garg, S., Ouyang, Y., Yang, X. and Waite, T.D.* (2023) Inhibition of Photosensitized Degradation of Organic Contaminants by Copper under Conditions Typical of Estuarine and Coastal Waters. Journal of Hazardous Materials, 131812. DOI: //doi.org/10.1016/j.jhazmat.2023.131812

Chen, T., Liang, S., Chen, Y., Han, J., Guan, S., Chen, X., Li, W., Qiu, J., Yang, X., Zhu, F. and Ouyang, G. (2023a) Advances in the analysis of odorous substances derived from drinking water disinfection. TrAC Trends in Analytical Chemistry 167, 117224. DOI: //doi.org/10.1016/j.trac.2023.117224
Chen, Y., Yu, Y., Wang, S., Han, J., Fan, M., Zhao, Y., Qiu, J., Yang, X., Zhu, F. and Ouyang, G. (2024) Molecularly imprinted polymer sheathed mesoporous silica tube as SPME fiber coating for determination of tobacco-specific nitrosamines in water. Science of The Total Environment 906, 167655. DOI: //doi.org/10.1016/j.scitotenv.2023.167655

Chen, Y., Zou, M., Huang, Y., Xie, Z., Liu, H., Wu, Q., Jiao, W., Qiu, J., Huang, G. and Yang, X. (2023b) Advances of mass spectrometry in characterization of disinfection byproducts in drinking water. TrAC Trends in Analytical Chemistry 166, 117209. DOI: //doi.org/10.1016/j.trac.2023.117209
Lei, X., Xie, Z., Sun, Y., Qiu, J. and Yang, X. (2023) Recent progress in identification of water disinfection byproducts and opportunities for future research. Environmental Pollution, 122601. DOI: //doi.org/10.1016/j.envpol.2023.122601

2022
第一/通讯:
Cheng, S., Zhao, Y., Pan, Y., Yu, J., Lei, Y., Lei, X., Ouyang, G. and Yang, X.* (2022) Role of Antioxidant Moieties in the Quenching of a Purine Radical by Dissolved Organic Matter. Environmental Science & Technology. 56, 546-55. DOI: //doi.org/10.1021/acs.est.1c04576
Huang, H., Zheng, H., Jiao, J., Lei, Y., Zhou, Y., Qiu, J. and Yang, X.* (2022) Trichloramine and Hydroxyl Radical Contributions to Dichloroacetonitrile Formation Following Breakpoint Chlorination. Environmental Science & Technology. 56(17), 12592–12601. //doi.org/10.1021/acs.est.2c03701

Lei, X., Lei, Y., Guan J., Westerhoff, P. and Yang, X.* (2022) Kinetics and Transformations of Diverse Dissolved Organic Matter Fractions with Sulfate Radicals. Environmental Science & Technology. 56(7), 4457-4466. DOI: //doi.org/10.1021/acs.est.1c08388

- Lei, Y., Lei, X., Westerhoff, P., Tong X., Ren J., Zhou, Y., Cheng, S., Ouyang G., and Yang, X.* (2022) Bromine Radical (Br• and Br2•–) Reactivity with Dissolved Organic Matter and Brominated Organic Byproduct Formation. Environmental Science & Technology. 56(8), 5189-5199. DOI: //doi.org/10.1021/acs.est.2c00549

- Yang, X.*, Rosario-Ortiz, F. L., Lei, Y., Pan, Y., Lei, X., and Westerhoff, P. (2022) Multiple Roles of Dissolved Organic Matter in Advanced Oxidation Processes. Environmental Science & Technology. 56(16), 11111-11131.DOI: //doi.org/10.1021/acs.est.2c01017
Cheng, S., Zhao, Y., Pan, Y., Lei, Y., Zhou, Y., Li, C., Zhang, X. and Yang, X.* (2022) Quantification of the diverse inhibitory effects of dissolved organic matter on transformation of micropollutants in UV/persulfate treatment. Water Research 223, 118967. DOI : //doi.org/10.1016/j.watres.2022.118967

Kong, Q., Pan, Y., Lei, X., Zhou, Y., Lei, Y., Peng, J., Zhang, X., Yin, R., Shang, C. and Yang, X.* (2022) Reducing properties of triplet state organic matter (3DOM*) probed via the transformation from chlorine dioxide to chlorite. Water Research 225, 119120. DOI: //doi.org/10.1016/j.watres.2022.119120

- Li, T., Shang, C., Xiang, Y.*, Yin, R., Pan, Y., Fan, M. and Yang, X.* (2022) ClO2 pre-oxidation changes dissolved organic matter at the molecular level and reduces chloro-organic byproducts and toxicity of water treated by the UV/chlorine process. Water Research, 118341. DOI: //doi.org/10.1016/j.watres.2022.118341

Peng, J., Huang, H., Zhong, Y., Yin, R., Wu, Q., Shang, C. and Yang, X.* (2022) Transformation of Dissolved Organic Matter during Biological Wastewater Treatment and Relationships with the Formation of Nitrogenous Disinfection Byproducts. Water Research 222, 118870. DOI: //doi.org/10.1016/j.watres.2022.118870

Zhang, X., Zhai, J., Lei, Y., Huang, H., Ren, P., Lambropoulou, D. and Yang, X.* (2022) Enhanced formation of trichloronitromethane precursors during UV/monochloramine treatment. Journal of Hazardous Materials, 422, 126813. DOI: //doi.org/10.1016/j.jhazmat.2021.126813

Lei, X., Lei, Y., Cheng, S. and Yang, X.* (2022) Probing the Reaction Kinetics of Chlorine Radicals (Cl•/Cl2•−) with N-Nitrosamines. Journal of Environmental Chemical Engineering 6(10), 108705. DOI: //doi.org/10.1016/j.jece.2022.108705

Yang, X., Yao, L., Wang, Y., Zhang, X. and Ren, P. (2022) Simultaneous removal of algae, cyanotoxins and disinfection byproduct precursors by peroxymonosulfate (PMS)-enhanced Fe(III) coagulation. Chemical Engineering Journal 445, 136689. DOI: //doi.org/10.1016/j.cej.2022.136689

Fan, M., Shu, L., Zhang, X., Yu, M., Du, Y., Qiu, J.* and Yang, X.* (2022) Synergistic cytotoxicity of binary combinations of inorganic and organic disinfection byproducts assessed by real-time cell analysis. Journal of Environmental Sciences. 117, 222-231. DOI: //doi.org/10.1016/j.jes.2022.04.042

其他:
Yan, H., Shen, M., Shen, Y., Wang, X.-D., Lin, W., Pan, J., He, J., Ye, Y.-X., Yang, X., Zhu, F., Xu, J., He, J. and Ouyang, G. (2022) Spontaneous exciton dissociation in organic photocatalyst under ambient conditions for highly efficient synthesis of hydrogen peroxide. Proceedings of the National Academy of Sciences 119(22), e2202913119. DOI: //doi.org/10.1073/pnas.2202913119
Peng, J., Yin, R.*, Yang, X. and Shang, C.* (2022) A Novel UVA/ClO2 Advanced Oxidation Process for the Degradation of Micropollutants in Water. Environmental Science & Technology 56, 1257-1266. DOI: //doi.org/10.1021/acs.est.1c05133

Zhao, J., Peng, J., Yin, R.*, Fan, M., Yang, X. and Shang, C.* (2022) Multi-angle comparison of UV/chlorine, UV/monochloramine, and UV/chlorine dioxide processes for water treatment and reuse. Water Research, 217, 118414. DOI: //doi.org/10.1016/j.watres.2022.118414

Li, J., Cassol, G.S., Zhao, J., Sato, Y., Jing, B., Zhang, Y., Shang, C., Yang, X., Ao, Z., Chen, G. and Yin, R.* (2022) Superfast degradation of micropollutants in water by reactive species generated from the reaction between chlorine dioxide and sulfite. Water Research 222, 118886. DOI: //doi.org/10.1016/j.watres.2022.118886

Yan, H., Deng, Y., Shen, M., Ye, Y.-X.*, Zhu, F., Yang, X. and Ouyang, G.* (2022a) Regulation the reactive oxygen species on conjugated polymers for highly efficient photocatalysis. Applied Catalysis B: Environmental, 314, 121488. DOI: //doi.org/10.1016/j.apcatb.2022.121488

Xie, X., Cao, J., Xiang, Y., Xie, R., Suo, Z., Ao, Z.*, Yang, X. and Huang, H.* (2022) Accelerated iron cycle inducing molecular oxygen activation for deep oxidation of aromatic VOCs in MoS2 co-catalytic Fe3+/PMS system. Applied Catalysis B: Environmental, 309, 121235. DOI: //doi.org/10.1016/j.apcatb.2022.121235
Chen, L., Huang, J., Shi, Y., Peng, X., Kuang, Y., Zhou, S., Zheng, J.*, Yang, X. and Ouyang, G. (2022) Polystyrene-based nanospheres with controllable microstructures for exceptional solid phase microextraction of organic pollutants. Chemical Engineering Journal 428, 132527. DOI: //doi.org/10.1016/j.cej.2021.132527

Cassol, G.S., Shang, C., Li, J., Ling, L., Yang, X. and Yin, R. (2022) Dosing low-level ferrous iron in coagulation enhances the removal of micropollutants, chlorite and chlorate during advanced water treatment. Journal of Environmental Sciences. 117, 119-128. DOI: //doi.org/10.1016/j.jes.2022.03.022
Prasse, C., Yang, X., Chen, C., Xu, B. and Li, X. (2022) Re-Imagining drinking water safety based on 21st century science: Microbial pathogens, emerging contaminants, byproducts, and health risks: Preface. Journal of Environmental Sciences 117, 1-2. DOI://doi.org/10.1016/j.jes.2022.03.002
Ainali, N.M., Kalaronis, D., Evgenidou, E., Kyzas, G.Z., Bobori, D.C., Kaloyianni, M., Yang, X., Bikiaris, D.N. and Lambropoulou, D.A. *(2022) Do poly(lactic acid) microplastics instigate a threat? A perception for their dynamic towards environmental pollution and toxicity. Science of The Total Environment 832, 155014. DOI: //doi.org/10.1016/j.scitotenv.2022.155014

Fan, M., Yang, X., Kong, Q., Lei, Y., Zhang, X.*, Aghdam, E., Yin, R.* and Shang, C. (2022) Sequential ClO2-UV/chlorine process for micropollutant removal and disinfection byproduct control. Science of The Total Environment 806, 150354. DOI: //doi.org/10.1016/j.scitotenv.2021.150354

Xie, X., Xiang, Y., Cao, J., Dai, W., Ao, Z., Huang, H.*, Yang, X., Xiao, F. and Ye, X. (2023) High-efficiency destruction of aromatic VOC mixtures in a MoS2 cocatalytic Fe3+/PMS reaction. Separation and Purification Technology 305, 122444. DOI: //doi.org/10.1016/j.seppur.2022.122444

Zhang, X., Xu, W., Ren, P.*, Li, W.*, Yang, X., Zhou, J., Li, J., Li, Z. and Wang, D. (2022) Effective removal of diatoms (Synedra sp.) by pilot-scale UV/chlorine-flocculation process. Separation and Purification Technology 302, 122117. DOI: //doi.org/10.1016/j.seppur.2022.122117

Kalaronis, D., Ainali, N., Evgenidou, E., Kyzas, G., Yang, X., Bikiaris, D. and Lambropoulou, D.* (2022) Microscopic techniques as tools for the determination of microplastics and nanoplastics in the aquatic environment: A short review. Green Analytical Chemistry 3, 100036. DOI: //doi.org/10.1016/j.greeac.2022.100036

Huang, S., Fan, M., Wawryk, N., Qiu, J.*, Yang, X., Zhu, F., Ouyang, G. and Li, X.-F. (2022) Recent advances in sampling and sample preparation for effect-directed environmental analysis. TrAC Trends in Analytical Chemistry 154, 116654. DOI: //doi.org/10.1016/j.trac.2022.116654
2021
Zhou, Y., Wu, Y., Lei, Y., Pan, Y., Cheng, S., Ouyang, G. and Yang, X.* (2021) Redox-Active Moieties in Dissolved Organic Matter Accelerate the Degradation of Nitroimidazoles in SO4•–-Based Oxidation. Environmental Science & Technology. 55, 14844-14853 DOI: //doi.org/10.1021/acs.est.1c04238

Lei, Y., Lei, X., Yu, Y., Li, K., Li, Z., Cheng, S., Ouyang G., and Yang, X.* (2021) Rate Constants and Mechanisms for Reactions of Bromine Radicals with Trace Organic Contaminants. Environmental Science & Technology, 55, 10502−10513. DOI: //doi.org/10.1021/acs.est.1c02313

- Lei, Y., Lei, X., Westerhoff, P., Zhang, X. and Yang, X.* (2021) Reactivity of Chlorine Radicals (Cl• and Cl2•–) with Dissolved Organic Matter and the Formation of Chlorinated Byproducts. Environmental Science & Technology, 55, 689-699 DOI: //doi.org/10.1021/acs.est.0c05596

Lei, X., Lei, Y., Zhang, X. and Yang, X.* (2021) Treating disinfection byproducts with UV or solar irradiation and in UV advanced oxidation processes: A review. Journal of Hazardous Materials 408, 124435. DOI: //doi.org/10.1016/j.jhazmat.2020.124435

Ruan, X., Zhang, X.*, Lei, Y. Lei, X., Wang, C. and Yang, X. (2021) UV254 irradiation of N-chloro-α-amino acids: kinetics, mechanisms, and N-DBP formation potentials. Water Research 199, 117204 DOI: //doi.org/10.1016/j.watres.2021.117204

Chen, B.*, Jiang, J., Yang, X.*, Zhang, X.*, and Westerhoff, P.* (2021) Roles and Knowledge Gaps of Point-of-Use Technologies for Mitigating Health Risks from Disinfection Byproducts in Tap Water: A Critical Review. Water Research 200, 117265. DOI: //doi.org/10.1016/j.watres.2021.117265

Cheng, S., Ge, Y., Lee, Y. and Yang, X.* (2021) Prediction of Photolysis Kinetics of Viral Genomes under UV254 Irradiation to Estimate Virus Infectivity Loss. Water Research 198, 117165. DOI: //doi.org/10.1016/j.watres.2021.117165

Zhang, X., Zhai, J., Lei, Y., Huang, H., Ren, P., Lambropoulou, D. and Yang, X.* (2021) Enhanced formation of trichloronitromethane precursors during UV/monochloramine treatment. Journal of Hazardous Materials, 126813. DOI: //doi.org/10.1016/j.jhazmat.2021.126813

He, Z., Wang, L., Ge, Y., Zhang, S., Tian, Y., Yang, X.,* and Shu, L.* (2021) Both viable and inactivated amoeba spores protect their intracellular bacteria from drinking water disinfection. Journal of Hazardous Materials 417, 126006. DOI: //doi.org/10.1016/j.jhazmat.2021.126006

Kong, Q., Fan, M., Yin, R., Zhang, X., Lei, Y., Shang, C. and Yang, X.* (2021) Micropollutant abatement and byproduct formation during the co-exposure of chlorine dioxide (ClO2) and UVC radiation. Journal of Hazardous Materials 419, 126424. DOI: //doi.org/10.1016/j.jhazmat.2021.126424

Ge, Y., Zhang, X., Shu, L. and Yang, X.* (2021) Kinetics and Mechanisms of Virus Inactivation by Chlorine Dioxide in Water Treatment: A Review. Bulletin of Environmental Contamination and Toxicology, 106, 560-567. DOI: //link.springer.com/article/10.1007/s00128-021-03137-3
Ye, Y.-X., Pan, J., Shen, Y., Shen, M., Yan, H., He, J., Yang, X., Zhu, F., Xu, J., He, J. and Ouyang, G.* (2021) A solar-to-chemical conversion efficiency up to 0.26% achieved in ambient conditions. Proceedings of the National Academy of Sciences 118(46), e2115666118. DOI: //doi.org/10.1073/pnas.2115666118
- Zhou, Y., Cheng, F., He, D. Zhang, Y.*, Qu, J., Yang, X., Chen, J. and Peijnenburg, W.J.G.M. (2021) Effect of UV/chlorine treatment on photophysical and photochemical properties of dissolved organic matter. Water Research 192, 116857 DOI: //doi.org/10.1016/j.watres.2021.116857

Ruan, X., Zhang, X.*, Lei, Y., Lei, X., Wang, C. and Yang, X. (2021) UV254 irradiation of N-chloro-α-amino acids: Kinetics, mechanisms, and N-DBP formation potentials. Water Research 199, 117204. DOI: //doi.org/10.1016/j.watres.2021.117204

Zhu, Y., Nie, J., Yang, X. and Guan, X.* (2021) Degradation of tetrabromobisphenol A by ferrate(VI)-CaSO3 process: Kinetics, products, and impacts on following disinfection by-products formation. Journal of Hazardous Materials 412, 125297. DOI: //doi.org/10.1016/j.jhazmat.2021.125297

Ainali, N.M., Kalaronis, D., Kontogiannis, A., Evgenidou, E., Kyzas, G.Z., Yang, X., Bikiaris, D.N. and Lambropoulou, D.A. (2021) Microplastics in the environment: Sampling, pretreatment, analysis and occurrence based on current and newly-exploited chromatographic approaches. Science of The Total Environment, 148725. DOI: //doi.org/10.1016/j.scitotenv.2021.148725

Duan, S.-Y., Chen, X., Huang, H., Yang, X., and Lu, X. (2021) Enhanced formation of dichloroacetamide and dichloroacetonitrile during chloramination of drinking water and model organic matters in the presence of copper corrosion products. Science of The Total Environment 785, 147242 DOI: //doi.org/10.1016/j.scitotenv.2021.147242

Chen, L., Huang, J., Shi, Y., Peng, X., Kuang, Y., Zhou, S., Zheng, J., Yang, X. and Ouyang, G. (2021) Polystyrene-based nanospheres with controllable microstructures for exceptional solid phase microextraction of organic pollutants. Chemical Engineering Journal 428, 132527. DOI: //doi.org/10.1016/j.cej.2021.132527

Fan, M., Yang, X., Kong, Q., Lei, Y., Zhang, X.* (2021) Aghdam, E., Yin, R*. and Shang, C. Sequential ClO2-UV/chlorine process for micropollutant removal and disinfection byproduct control. Science of The Total Environment 806, 150354. DOI: //doi.org/10.1016/j.scitotenv.2021.150354

Ye, Z., Shao, K., Huang, H.* and Yang, X. (2021) Tetracycline antibiotics as precursors of dichloroacetamide and other disinfection byproducts during chlorination and chloramination. Chemosphere, 128628. DOI: //doi.org/10.1016/j.chemosphere.2020.128628

Malesic-Eleftheriadou, N., Evgenidou, E., Lazaridou, M., Bikiaris, D.N., Yang, X., Kyzas, G.Z. and Lambropoulou, D.A. (2021) Simultaneous removal of anti-inflammatory pharmaceutical compounds from an aqueous mixture with adsorption onto chitosan zwitterionic derivative. Colloids and Surfaces A: Physicochemical and Engineering Aspects 619, 126498. DOI: //doi.org/10.1016/j.colsurfa.2021.126498

- Wang, J., Wang, K., Guo, Y., Ye, Z., Guo, Z., Lei, Y. Yang, X., Zhang, L.* and Niu, J. (2021) Dichlorine radicals (Cl2•-) promote the photodegradation of propranolol in estuarine and coastal waters. Journal of Hazardous Materials 414, 125536. DOI: //doi.org/10.1016/j.jhazmat.2021.125536

2020
- Pan, Y., Ruan, X., Garg, S., Waite, T. D., Lei, Y. and Yang, X.* (2020) Copper Inhibition of Triplet-Sensitized Phototransformation of Phenolic and Amine Contaminants. Environmental Science & Technology 2020 54, 16, 9980–9989
DOI: //dx.doi.org/10.1021/acs.est.0c01693

- Cheng, S., Lei, Y., Lei, X., Pan, Y., Lee, Y. and Yang, X.* (2020) Co-exposure degradation of purine derivatives in sulfate radical-mediated oxidation process. Environmental Science & Technology 54(2), 1186-1195.

- Kong, Q., Lei, X., Zhang, X., Cheng, S., Xu, C., Yang, B. and Yang, X.* (2020). The role of chlorine oxide radical (ClO•) in the degradation of polychoro-1,3-butadienes in UV/chlorine treatment: Kinetics and mechanisms. Water Research, 116056.
DOI: //doi.org/10.1016/j.watres.2020.116056

- Wu, Y., Wang, Y., Pan, T. and Yang, X.*, Oxidation of tetrabromobisphenol A (TBBPA) by peroxymonosulfate: The role of in-situ formed HOBr. Water Research, 115202
DOI: 10.1016/j.watres.2019.115202

- Wang, Y., Pan, T., Yu, Y., Wu, Y., Pan, Y. and Yang, X.* (2020). A novel peroxymonosulfate ( PMS)-enhanced iron coagulation process for simultaneous removal of trace organic pollutants in water. Water Research 116136 DOI: 10.1016/j.watres.2020.116136

Wang, Y., Wu, Y., Yu, Y., Pan, T, Li, D., Lambropoulou, D and Yang, X.* (2020). Natural polyphenols enhanced the Cu(II)/peroxymonosulfate (PMS) oxidation: The contribution of Cu(III) and HO•. Water Research 116326 DOI: //doi.org/10.1016/j.watres.2020.116326

- Ge, Y., Lei, Y., Lei, X., Gan, W., Shu, L. and Yang, X.* (2020). Exploration of reaction rates of chlorine dioxide with tryptophan residue in oligopeptides and proteins. Journal of Environmental Sciences 93, 129-136.
DOI: //doi.org/10.1016/j.jes.2020.03.059

Gan, W., Ge, Y., Zhong, Y. and Yang, X.* (2020). The Reactions of Chlorine Dioxide with Inorganic and Organic Compounds in Water Treatment: Kinetics and Mechanisms. Environmental Science: Water Research & Technology, 6, 2287-2312. DOI: //doi.org/10.1039/D0EW00231C

Zhang, X., Guo, Y., Pan, Y. and Yang, X.* (2020). Distinct effects of copper on the degradation of β-lactam antibiotics in fulvic acid solutions during light and dark cycle. Environmental Science and Ecotechnology, 3, 10005
DOI: //doi.org/10.1016/j.ese.2020.100051

- Kong, Q., Wang, Y. and Yang, X.* (2020) A Review on Hexachloro-1,3-butadiene (HCBD): Sources, Occurrence, Toxicity and Transformation. Bulletin of Environmental Contamination and Toxicology 104(1), 1-7.
DOI: 10.1007/s00128-019-02744-5
Zheng, W., Zhu, L., Liang, S., Ye, J., Yang, X., Lei, Z., Yan, Z., Li, Y., Wei, C. and Feng, C.* (2020). Discovering the importance of ClO• in a coupled electrochemical system for the simultaneous removal of carbon and nitrogen from secondary coking wastewater effluent. Environmental Science & Technology.
DOI: //doi.org/10.1021/acs.est.9b07704

2019
- Lei, Y., Cheng, S., Luo, N., Yang, X.* and An, T. (2019). Rate Constants and Mechanisms of the Reactions of Cl• and Cl2•– with Trace Organic Contaminants. Environmental Science & Technology 53(19), 11170-11182.

- Zhang, X., He, J., Lei, Y., Qiu, Z., Cheng, S. and Yang, X.* (2019). Combining solar irradiation with chlorination enhances the photochemical decomposition of microcystin-LR. Water Research 159, 324-332.
DOI: 10.1016/j.watres.2019.05.030

- Gan, W., Huang, S., Ge, Y., Bond, T., Westerhoff, P., Zhai, J. and Yang, X.* (2019). Chlorite formation during ClO2 oxidation of model compounds having various functional groups and humic substances. Water Research 159, 348-357.
DOI: 10.1016/j.watres.2019.05.020

- Gan, W., Ge, Y., Zhu, H., Huang, H.* and Yang, X.* (2019). ClO2 pre-oxidation changes the yields and formation pathways of chloroform and chloral hydrate from phenolic precursors during chlorination. Water Research 148, 250-260.
DOI: 10.1016/j.watres.2018.10.055

- Zhong, Y., Gan, W., Du, Y., Huang, H., Wu, Q., Xiang, Y., Shang, C. and Yang, X.* (2019). Disinfection byproducts and their toxicity in wastewater effluents treated by the mixing oxidant of ClO2/Cl2. Water Research 162, 471-481.
DOI: 10.1016/j.watres.2019.07.012

- Zhang, X., Zhai, J., Zhong, Y. and Yang, X.* (2019). Degradation and DBP formations from pyrimidines and purines bases during sequential or simultaneous use of UV and chlorine. Water Research 165,
DOI: 10.1016/j.watres.2019.115023

- Wang, Y., Chen, S.Y., Yang, X.*, Wu, Y., Huang, X.F., He, E.K., Qiu, R.L. and Wang, S.Z.* (2019). Enhanced removal of Cr(VI) in the Fe(III)/natural polyphenols system: role of the in situ generated Fe(II). Journal of Hazardous Materials 377, 321-329.
DOI: 10.1016/j.jhazmat.2019.05.083

- Zhang, X., He, J., Xiao, S. and Yang, X.* (2019). Elimination kinetics and detoxification mechanisms of microcystin-LR during UV/Chlorine process. Chemosphere 214, 702-709.
DOI: 10.1016/j.chemosphere.2018.09.162

- Wu, Y., Wang, Y., Lin, Z., Wang, Y., Li, Y., Liu, S., Gui, X.* and Yang, X.* (2019). Three-dimensional α-Fe2O3/amino-functionalization carbon nanotube sponge for adsorption and oxidative removal of tetrabromobisphenol A. Separation and Purification Technology 211, 359-367.
DOI: 10.1016/j.seppur.2018.10.002

- Xiang, Y., Deng, Z., Yang, X.*, Shang, C*. and Zhang, X. (2019). Transformation of adenine and cytosine in chlorination — An ESI-tqMS investigation. Chemosphere 234, 505-512.
DOI: 10.1016/j.chemosphere.2019.06.116

- Bunmahotama, W., Lin, T.F. and Yang, X.* (2019) Prediction of adsorption capacity for pharmaceuticals, personal care products and endocrine disrupting chemicals onto various adsorbent materials. Chemosphere
DOI: 10.1016/j.chemosphere.2019.124658
- Cheng, S., Zhang, X., Song, W., Pan, Y., Lambropoulou, D., Zhong, Y., Ye, D., Nie, J. and Yang, X.* (2019). Photochemical oxidation of PPCPs using a combination of solar irradiation and free available chlorine. Science of The Total Environment 682, 629-638.
DOI: 10.1016/j.scitotenv.2019.05.184

- Zhang, X.*, Ren, P., Li, W., Lei, Y., Yang, X. and Blatchley, E.R. (2019). Synergistic removal of ammonium by monochloramine photolysis. Water Research 152, 226-233.
DOI: 10.1016/j.watres.2018.12.065

- Pan, T., Wang, Y., Yang, X., Huang, X.-f. and Qiu, R.-l. (2019) Gallic acid accelerated BDE47 degradation in PMS/Fe(III) system: Oxidation intermediates autocatalyzed redox cycling of iron. Chemical Engineering Journal,
DOI: 10.1016/j.cej.2019.123248.

- Li, Y.*, Zhang, M., Hao, R., Wang, H., He, X., Du, T., Yang, X. and Wang, Y. (2019). Influence of (photo)bromination on the transformation, aggregation and sedimentation of graphene oxide. Chemical Engineering Journal 355, 487-497.
DOI: 10.1016/j.cej.2018.08.199
- Zhu, Y., Yang, X., Qiao, J., Zhang, X. and Guan, X.* (2019). Effects of KMnO4/NaHSO3 pre-oxidation on the formation potential of disinfection by-products during subsequent chlorination. Chemical Engineering Journal 372, 825-835.
DOI: 10.1016/j.cej.2019.04.210

- Sun, J., Kong, D., Aghdam, E., Fang, J., Wu, Q., Liu, J., Du, Y., Yang, X. and Shang, C.* (2019). The influence of the UV/chlorine advanced oxidation of natural organic matter for micropollutant degradation on the formation of DBPs and toxicity during post-chlorination. Chemical Engineering Journal 373, 870-879.
DOI: 10.1016/j.cej.2019.05.096

- Geng, J., Han, M., Yang, X., Li, Y., Bartlam, M. and Wang, Y.* (2019). Different biotransformation of three hexabromocyclododecane diastereoisomers by Pseudomonas sp. under aerobic conditions. Chemical Engineering Journal 374, 870-879.
DOI: 10.1016/j.cej.2019.05.232

- Wu, Z., Han, W., Yang, X., Li, Y. and Wang, Y.* (2019). The occurrence of polybrominated diphenyl ether (PBDE) contamination in soil, water/sediment, and air. Environmental Science and Pollution Research
DOI: 10.1007/s11356-019-05768-w.
2018
- Cheng, S., Zhang, X., Yang, X.* Shang, C., Song, W., Fang, J. and Pan, Y. (2018) The Multiple Role of Bromide Ion in PPCPs Degradation under UV/Chlorine Treatment. Environmental Science & Technology 52(4), 1806-1816.

- Pan, Y., Garg, S., Waite, T.D. and Yang, X*. (2018) Copper Inhibition of Triplet-Induced Reactions Involving Natural Organic Matter. Environmental Science & Technology 52(5), 2742-2750.

- Huang, S., Gan, W., Yan, M., Zhang, X., Zhong, Y. and Yang, X.* (2018) Differential UV–vis absorbance can characterize the reaction of organic matter with ClO2. Water Research 139, 442-449.
DOI: 10.1016/j.watres.2018.04.006

- Zhu, X., Beiyuan, J., Lau, A.Y.T., Chen, S.S., Tsang, D.C.W.*, Graham, N.J.D., Lin, D., Sun, J., Pan, Y., Yang, X.* and Li, X.-D. (2018) Sorption, mobility, and bioavailability of PBDEs in the agricultural soils: Roles of co-existing metals, dissolved organic matter, and fertilizers. Science of The Total Environment, 619–620, 1153-1162.
DOI: 10.1016/j.scitotenv.2017.11.159

- Guo, Y., Tsang, D.C.W., Zhang, X.* and Yang, X.* (2018) Cu(II)-catalyzed degradation of ampicillin: effect of pH and dissolved oxygen. Environmental Science and Pollution Research 25(5), 4279-4288.
DOI: 10.1007/s11356-017-0524-y
- Yao, B., Yan, S., Lian, L., Yang, X., Wan, C., Dong, H. and Song, W.* (2018). Occurrence and indicators of pharmaceuticals in Chinese streams: A nationwide study. Environmental Pollution 236, 889-898.
DOI: 10.1016/j.envpol.2017.10.032

- Lei, C., Sun, Y., Khan, E., Chen, S.S., Tsang, D.C.W.*, Graham, N.J.D., Ok, Y.S., Yang, X., Lin, D., Feng, Y. and Li, X.-D. (2018) Removal of chlorinated organic solvents from hydraulic fracturing wastewater by bare and entrapped nanoscale zero-valent iron. Chemosphere, 196, 9-17.
DOI: 10.1016/j.chemosphere.2017.12.151

- Gan, W., Venkatesan, A.K., Apul, O.G., Perreault, F., Yang, X. and Westerhoff*, P. (2018) Bromide and Other Halide Ion Removal From Drinking Waters Using Silver-Amended Coagulation. Journal - American Water Works Association 110(6), 13-24.
DOI: 10.1002 / awwa.1049
2017
- Huang, H.*, Zhu, H., Gan, W., Chen, X. and Yang, X.* (2017) Occurrence of nitrogenous and carbonaceous disinfection byproducts in drinking water distributed in Shenzhen, China. Chemosphere 188, 257-264.
DOI: 10.1016/j.chemosphere.2017.08.172

- Pan, Y., Cheng, S., Yang, X.*, Ren, J., Fang, J., Shang, C., Song, W., Lian, L. and Zhang, X. (2017) UV/chlorine treatment of carbamazepine: Transformation products and their formation kinetics. Water Research 116, 254-265.
DOI: 10.1016/j.watres.2017.03.033

- Wang, Y., Chen, S.Y., Yang, X.*, Huang, X.F., Yang, Y., He, E.K., Wang, S. and Qiu, R.L.* (2017) Degradation of 2,2′,4,4′-tetrabromodiphenyl ether (BDE-47) by a nano zerovalent iron-activated persulfate process: The effect of metal ions. Chemical Engineering Journal 317, 613-622.
DOI: 10.1016/j.cej.2017.02.070

- Li, Y., Pan, Y., Lian, L., Yan, S., Song, W*. and Yang, X.* (2017) Photosensitized degradation of acetaminophen in natural organic matter solutions: The role of triplet states and oxygen. Water Research 109, 266-273.
DOI: 10.1016/j.watres.2016.11.049

- Sharma, V.K., Yang, X., Cizmas, L., McDonald, T.J., Luque, R., Sayes, C.M., Yuan, B. and Dionysiou, D.D. (2017) Impact of metal ions, metal oxides, and nanoparticles on the formation of disinfection byproducts during chlorination. Chemical Engineering Journal 317, 777-792.
DOI: 10.1016/j.cej.2017.02.071

- Wu, Z., Guo, K., Fang, J., Yang, X., Xiao, H., Hou, S., Kong, X., Shang, C., Yang, X., Meng, F. and Chen, L. (2017) Factors affecting the roles of reactive species in the degradation of micropollutants by the UV/chlorine process. Water Research 126, 351-360.
DOI: 10.1016/j.watres.2017.09.028

- Guo, K., Wu, Z., Shang, C., Yao, B., Hou, S., Yang, X., Song, W. and Fang, J. (2017) Radical Chemistry and Structural Relationships of PPCP Degradation by UV/Chlorine Treatment in Simulated Drinking Water. Environmental Science & Technology 51(18), 10431-10439.

- Lau, A.Y.T., Tsang, D.C.W., Graham, N.J.D., Ok, Y.S., Yang, X. and Li, X.-d. (2017) Surface-modified biochar in a bioretention system for Escherichia coli removal from stormwater. Chemosphere 169, 89-98.
DOI: 10.1016 / j.chemosphere.2016.11.048

- Beiyuan, J., Tsang, D.C.W., Valix, M., Zhang, W., Yang, X., Ok, Y.S. and Li, X.-D. (2017) Selective dissolution followed by EDDS washing of an e-waste contaminated soil: Extraction efficiency, fate of residual metals, and impact on soil environment. Chemosphere 166, 489-496.
DOI: 10.1016/j.chemosphere.2016.09.110

- Aghdam, E., Xiang, Y., Sun, J., Shang, C.*, Yang, X. and Fang, J. (2017) DBP formation from degradation of DEET and ibuprofen by UV/chlorine process and subsequent post-chlorination. Journal of Environmental Sciences, 58, 146-154. DOI: 10.1016/j.jes.2017.06.014
- Bond, T., Simperler, A., Graham, N., Ling, L., Gan, W., Yang, X. and Templeton, M.R. (2017) Defining the molecular properties of N-nitrosodimethylamine (NDMA) precursors using computational chemistry. Environmental Science-Water Research & Technology 3(3), 502-512.
DOI: 10.1039/c7ew00068e

2016
- Yang, X.*, Sun, J., Fu, W., Shang, C.*, Li, Y., Chen, Y., Gan, W., Fang, J. (2016) PPCP degradation by UV/chlorine treatment and its impact on DBP formation potential in real waters. Water Research, 98, 309-318.
DOI: 10.1016/j.watres.2016.04.011

- Pan, Y., Tsang, D.C.W., Wang, Y., Li, Y., Yang, X.* (2016) The photodegradation of polybrominated diphenyl ethers (PBDEs) in various environmental matrices: Kinetics and mechanisms. Chemical Engineering Journal, 297, 74-96.
DOI: 10.1016/j.cej.2016.03.122

- Jian, Q.Y., Boyer, T.H., Yang, X.H., Xia, B.C., Yang, X.* (2016) Characteristics and DBP formation of dissolved organic matter from leachates of fresh and aged leaf litter, Chemosphere, 152, 335-3
DOI: 10.1016/j.chemosphere.2016.02.107

- Gan, W., Huang, H., Yang, X.*, Peng, Z. and Chen, G.* (2016) Emerging investigators series: disinfection by-products in mixed chlorine dioxide and chlorine water treatment. Environmental Science: Water Research & Technology 2, 838-847.
DOI: 10.1039/C6EW00061D

- Wu, Z., Fang, J., Xiang, Y., Shang, C., Li, X., Meng, F. and Yang, X., 2016. Roles of reactive chlorine species in trimethoprim degradation in the UV/chlorine process: Kinetics and transformation pathways. Water Research 104, 272-282.
DOI: 10.1016/j.watres.2016.08.011

- Du, T., Wang, Y., Yang, X., Wang, W., Guo, H., Xiong, X., Gao, R., Wuli, X., Adeleye, A.S. and Li, Y.* (2016) Mechanisms and kinetics study on the trihalomethanes formation with carbon nanoparticle precursors. Chemosphere, 154, 391-397.
DOI: 10.1016/j.chemosphere.2016.04.002

- Beiyuan, J., Tsang, D.C.W.*, Ok, Y.S.*, Zhang, W., Yang, X., Baek, K. and Li, X.-D. (2016) Integrating EDDS-enhanced washing with low-cost stabilization of metal-contaminated soil from an e-waste recycling site. Chemosphere 154, 426-432.
DOI: 10.1016/j.chemosphere.2016.06.030

2015
- Gan. W.H., Bond, T., Yang, X.*, Westerhoff, P. (2015) Role of Chlorine Dioxide in N-Nitrosodimethylamine Formation from Oxidation of Model Amines. Environmental Science & Technology 49 (19), 11429-11437.

- Yang, X., Gan, W.H., Zhang, X., Huang, H., Sharma, V.K * (2015) Effect of pH on the formation of disinfection byproducts in Ferrate(VI) pre-oxidation and subsequent chlorination. Separation and Purification Technology, 156, 980-986.
DOI: 10.1016/j.seppur.2015.09.057

- Li, Y.Y., Song, W.H., Fu, W.J., Tsang, D.S.W., Yang, X.* (2015) The roles of halides in the acetaminophen degradation by UV/H2O2 treatment: Kinetics, mechanisms, and products analysis. Chemical Engineering Journal, 271, 214-222.
DOI: 10.1016/j.cej.2015.02.090

- Gan, W.H., Sharma, V.K., Zhang, X., Yang, L., Yang, X.* (2015) Investigation of disinfection byproducts formation in ferrate(VI) pre-oxidation of NOM and its model compounds followed by chlorination. Journal of Hazardous Materials, 292, 197–204.
DOI: 10.1016/j.jhazmat.2015.02.037

- Zhu, X., Tsang, D.C.W. , Chen, F., Li, S.Y., Yang, X.* (2015) Ciprofloxacin Adsorption on Graphene and Granular Activated Carbon: Kinetics, Isotherms, and Effects of Solution Chemistry, Environmental Technology, 36(24), 3094-3102.
DOI: 10.1080/09593330.2015.1054316
- Chen, B.Y.*, Westerhoff, P., Zhang, L., Zhu, A., Yang, X., Wang, C. (2015) Application of Pretreatment Methods for Reliable Dissolved Organic Nitrogen Analysis in Water—A Review. Critical Reviews in Environmental Science and Technology, 45, 249–276.
DOI: 10.1080/10643389.2013.852400
2014
- Guo, W., Shan, Y., Yang, X.* (2014) Factors affecting the formation of iodo-trihalomethanes during oxidation with chlorine dioxide. Journal of Hazardous Materials, 264, 91–97.
DOI: 10.1016/j.jhazmat.2013.10.064

- Deng, Z., Yang, X., Shang, C.*, Zhang, X.R. (2014) Electrospray Ionization-Tandem Mass Spectrometry Method for Differentiating Chlorine Substitution in Disinfection Byproduct Formation. Environmental Science & Technology, 48(9), 4877-4884.
DOI: 10.1021/es405758b

- Kong, L., Xiong, Y.*, Sun, L., Tian, S., Xu, X., Zhao, C., Luo, R., Yang, X., Shih, K., Liu, H. (2014) Sorption performance and mechanism of a sludge-derived char as porous carbon-based hybrid adsorbent for benzene derivatives in aqueous solution. Journal of Hazardous Materials, 274, 205–211.
DOI: 10.1016/j.jhazmat.2014.04.014

2013
- Yang, X.*, Guo, W., Zhang, X., Chen, F., Ye, T., Liu, W.* (2013) Formation of disinfection by-products after pre-oxidation with chlorine dioxide or ferrate. Water Research, 47(15), 5856–5864.
DOI: 10.1016/j.watres.2013.07.010

- Meng, F.*, Huang, G., Yang, X.*, Li, Z., Li, J., Cao, J., Wang, Z., Sun, L. (2013) Identifying the sources and fate of anthropogenically impacted dissolved organic matter (DOM) in urbanized rivers. Water Research, 47(14-15), 5027-5039.
DOI: 10.1016/j.watres.2013.05.043

- Liang, Y., Zhang, Z., Yang, X., Liu, W. (2013) Effect of suspended solids on the sequential disinfection of secondary effluent by UV irradiation and chlorination. Journal of Environmental Engineering-ASCE, 139(12), 1482–1487.
DOI: 10.1061/(ASCE)EE.1943-7870.0000767
- Yang, X.*, Chen, F., Meng, F., Xie, Y., Chen, H., Young, K., Luo, W., Ye, T., Fu, W. (2013) Occurrence and fate of PPCPs and correlations with water quality parameters in urban riverine waters of the Pearl River Delta, South China. Environmental Science and Pollution Research, 20(8), 5864-5875.
DOI: 10.1007/s11356-013-1641-x
- Yang, X.*, Guo, W.H., Lee, W.* (2013) Formation of disinfection byproducts upon chlorine dioxide preoxidation followed by chlorination or chloramination of natural organic matter. Chemosphere, 91, 1471-1485.
DOI: 10.1016/j.chemosphere.2012.12.014
- Gan, W.H., Guo, W.H., Mo, J.M., He, Y.S., Liu, Y.J., Liu, W., Liang, Y.M., Yang, X.* (2013) The occurrence of disinfection by-products in municipal drinking water in China’s Pearl River Delta and a multipathway cancer risk assessment. Science of the Total Environment, 447, 108-115.
DOI: 10.1016/j.scitotenv.2012.12.091
- Liang, Y.M., Lu, J., Qin, X.B., Yang, X., Chen, B., Zhang, Z.L., Liu, W.* (2013) Effluent particle size and permeability of polyvinylchloride membranes after sodium hypochlorite exposure. Journal of Environmental Engineering-ASCE, 139, 712-718.
DOI: 10.1061/(asce)ee.1943-7870.0000677
2012
- Yang X.*, Shang C., Shen, Q.Q., Chen, B.Y., Westerhoff, P., Peng, J.F., Guo, W.H. (2012) Nitrogen Origins and the Role of Ozonation in the Formation of Haloacetonitriles and Halonitromethanes in Chlorine Water Treatment. Environmental Science & Technology, 46(23), 12832-12838.
DOI: 10.1021/es302993u
- Yang X.*, Peng, J.F., Chen, B.Y., Guo, W.H., Liang, Y.M., Liu W., Liu, L. (2012) Effects of Ozone and Ozone/Peroxide Pretreatments on Disinfection Byproduct Formation during Subsequent Chlorination and Chloramination. Journal of Hazardous Materials, 239-240, 348-354.
DOI: 10.1016/j.jhazmat.2012.09.006
- Yang X.*, Shen, Q.Q., Guo, W.H., Peng, J. F., Liang, Y.M. (2012) Precursors and nitrogen origins of trichloronitromethane and dichloroacetonitrile during chlorination/chloramination. Chemosphere, 88, 25-32.
DOI: 10.1016/j.chemosphere.2012.02.035
- Liu, W., Zhang, Z.L, Yang, X., Xu, Y.Y., Liang, Y.M.* (2012) Effects of UV irradiation and UV/chlorine co-exposure on natural organic matter in water. Science of the Total Environment, 414, 576-584.
DOI: 10.1016/j.citotenv.201.11.031
2011
- Yang X.*, Guo, W.H., and Shen, Q.Q. (2011) Formation of disinfection byproducts from chlor(am)ination of algal organic matter. Journal of Hazardous Materials, 197, 378-388.
DOI: 10.1016/j.jhazmat.2011.09.098
- Yang X.*, Flowers, R.C., Weinberg H.S., and Singer, P.C. (2011) Occurrence and Removal of Pharmaceuticals and Personal Care Products (PPCPs) in an Advanced Wastewater Reclamation Plant. Water Research, 45(16): 5218-5228.
DOI: 10.1016/j.watres.2011.07.026

- Zhao, Q., Shang, C.*, Zhang, X.R., Ding, G.Y., Yang, X. (2011) Formation of halogenated organic products during medium-pressure UV and chlorine coexposure of model compounds, NOM and bromide. Water Research, 45(19), 6545-6554.
DOI: 10.1016/j.watres.2011.09.053
2005−2010
- Yang X.*, Fan C.H., Shang C. and Zhao Q. (2010) Nitrogenous disinfection byproducts formation and nitrogen origin exploration during chloramination of nitrogenous organic compounds, Water Research, 44(9),2691-2702.
DOI: 10.1016/j.watres.2010.01.029
- Fang J., Ma J.*, Yang X. and Shang C.* (2010) Formation of carbonaceous and nitrogenous disinfection by-products from the chlorination of Microcystis Aeruginosa, Water Research, 44, 1934-1940.
DOI: 10.1016/j.watres.2009.11.046
- Fang J., Yang X., Ma J.*, Shang C.* and Zhao Q. (2010) Characterization of algal organic matter and formation of DBPs from chlor(am)ination, Water Research, 44(20), 5897-906.
DOI: 10.1016/j.watres.2010.07.009
- Ding C.L., Yang X., Liu W., Chang Y., and Shang C.* (2010) Removal of Natural Organic Matter Using Surfactant-Modified Iron Oxide-Coated Sand, Journal of Hazardous Materials, 174(1-3), 567-572.
DOI: 10.1016/j.jhazmat.2009.09.089
- Yang X., Zhao Q., and Shang C.* (2008) Disinfection by-product formation from chloramination of clarified water after prechlorination and preozonation, Water Science & Technology: Water Supply, 8(3), 255-262.
- Yang X.*, Shang C., Lee, W., Westerhoff, P. and Fan, C. (2008) Correlations between organic matter properties and DBP formation during chloramination, Water Research, 42(8-9), 2329-2339.
DOI: 10.1016/j.watres.2007.12.021
- Yang X., Shang C.* and Westerhoff, P. (2007) Factors affecting formation of haloacetonitriles, haloketones, chloropicrin and cyanogen halides during chloramination, Water Research, 41(6), 1193-1200.
DOI: 10.1016/j.watres.2006.12.004
- Lee W., Westerhoff P.*, Yang X. and Shang C. (2007) Comparison of colorimetric and membrane introduction mass spectrometry techniques for chloramine analysis, Water Research, 41, 3097-3102.
DOI: 10.1016/j.watres.2007.04.032
- Liu W., Cheung L.M., Yang X., and Shang C.* (2006) THM, HAA and CNCl formation from UV irradiation and chlor(am)ination of selected organic waters, Water Research, 40, 2033-2043.
DOI: 10.1016/j.watres.2006.03.019
- Shang C.*, Qi Y., Xie L., Liu W., and Yang X. (2005) Kinetics of cyanogen chloride destruction by chemical reduction methods, Water Research, 39(10), 2114-2124.
DOI: 10.1016/j.watres.2005.03.031
- Yang X., Shang C.* and Huang J-C (2005) DBP formation in breakpoint chlorination of wastewater, Water Research, 39(19), 4755-4767.
DOI: 10.1016/j.watres.2005.08.033
- Yang X. and Shang C.* (2005) Quantification of aqueous cyanogen chloride and cyanogen bromide in environmental samples by MIMS, Water Research, 39(9), 1709-1718.
DOI: 10.1016/j.watres.2005.01.030
- Yang X. and Shang C.* (2004) Chlorination byproduct formation in the presence of humic acid, model nitrogenous organic compounds, ammonia and bromide, Environmental Science & Technology, 38(19), 4995-5001.
DOI: 10.1021/es049580g
